<

U V W Formula

<
Ex 5 5 18 Show That D Dx U V W Du Dx V W U Dv Dx W

Ex 5 5 18 Show That D Dx U V W Du Dx V W U Dv Dx W

Ex 5 5 18 Show That D Dx U V W Du Dx V W U Dv Dx W

Ex 5 5 18 Show That D Dx U V W Du Dx V W U Dv Dx W

Ex 5 5 18 Show That D Dx U V W Du Dx V W U Dv Dx W

Ex 5 5 18 Show That D Dx U V W Du Dx V W U Dv Dx W

Ex 5 5 18 Show That D Dx U V W Du Dx V W U Dv Dx W

Ex 5 5 18 Show That D Dx U V W Du Dx V W U Dv Dx W

Answered A What Is The Analogous Formula For Bartleby

Answered A What Is The Analogous Formula For Bartleby

Product Rule Of Differentiation Homework Help In Math Homework1

Product Rule Of Differentiation Homework Help In Math Homework1

Product Rule Of Differentiation Homework Help In Math Homework1

Uv u v uv this seems odd that the product of the derivatives is a sum rather than just a product of derivatives but in a minute we ll.

U v w formula. Derivada de una suma. Find the cross product u x v if u 2i j 3k v 4j 5k solution we calculate 17i 10j 8k if you need more help see the lecture notes for math 103 b on matrices. V v2 d f u x f u x u x chain rule dx implicit differentiation let s say you want to find y from an equation like y 3 3xy 2 8 d instead of solving for y and then taking its derivative just take of the whole dx thing.

Where p is the power in watts i is the current in amps and v is the voltage in volts. D dx a u a du dx equation 1 d dx u v du dx dv dx equation 2 d dx u v u dv dx du dx v equation 3 d dx u v v du dx u dv dx v 2 equation 4 d dx a 0 equation 5 d dx x 1. Consider that du dx is the derivative of that function. Ex 5 5 18 if 𝑢 𝑣 and 𝑤 are functions of 𝑥 then show that 𝑑 𝑑𝑥 𝑢.

Consider u elevated to the power of n as in f x u n consider u a function. Exercises find u x v when u 3i j 2k v i k u 24. For example if you have a power of 10w running at 5v the current is 10w 5v 2a. Consider f u consider the sum of two functions u v u v u v consider the sum of three functions u v w u v w u.

La derivada de una suma de dos funciones es igual a la suma de las derivadas de dichas funciones. Product formula general the product rule tells us how to take the derivative of the product of two functions. Did you spot the aw in the above argument. In this example 3y 2 y 6xyy.

In the com putation 7 of the algebraic formula for the dot product in terms of com ponents it was assumed without comment that the. U and v are functions of x d is the differential operator. A geometric proof of the linearity of the dot product.

Differentiation Formulas Kumar Mathematics Youtube

Differentiation Formulas Kumar Mathematics Youtube

Calculus And Mathematics Formulas Added Calculus And Mathematics Formulas Facebook

Calculus And Mathematics Formulas Added Calculus And Mathematics Formulas Facebook

All Integral Formulas A Self Prepared Guide Book To Your Integral Fo

All Integral Formulas A Self Prepared Guide Book To Your Integral Fo

Product Rule Wikipedia

Product Rule Wikipedia

Answered A What Is The Analogous Formula For Bartleby

Answered A What Is The Analogous Formula For Bartleby

Vector And Scalar Functions And Their Fields

Vector And Scalar Functions And Their Fields

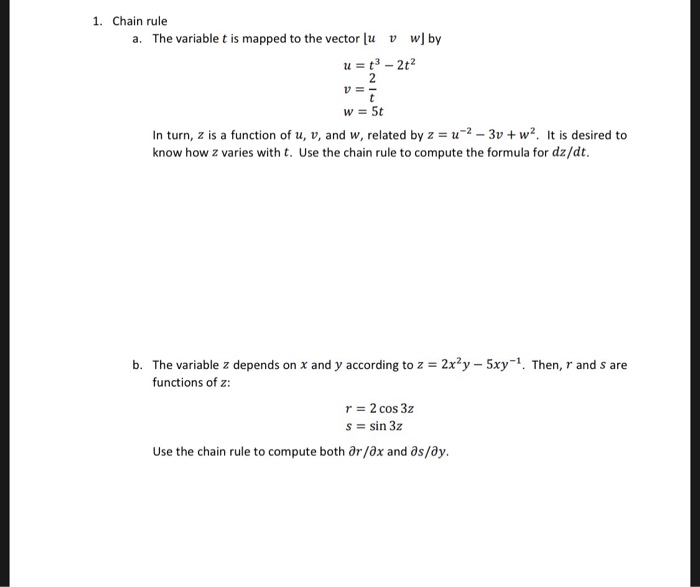
Solved 1 Chain Rule A The Variable T Is Mapped To The V Chegg Com

Solved 1 Chain Rule A The Variable T Is Mapped To The V Chegg Com

Pdf List Of Uvw Sequences For Pi 9 Iii

Pdf List Of Uvw Sequences For Pi 9 Iii

Answered Generalizing The Product Rule The Bartleby

Answered Generalizing The Product Rule The Bartleby

Solved Reinforcement Learning A Assume The Following Wo Chegg Com

Solved Reinforcement Learning A Assume The Following Wo Chegg Com

Engineering Mathematics Total Derivatives Chain Rule And Derivativ

Engineering Mathematics Total Derivatives Chain Rule And Derivativ

7 Reinforcement Learning A Assume The Following Chegg Com

7 Reinforcement Learning A Assume The Following Chegg Com

Comparison Of Uvw And Wf With Regard To Limit Point Download Scientific Diagram

Comparison Of Uvw And Wf With Regard To Limit Point Download Scientific Diagram

Solved The Primed Indices Are Associated With The Three I Chegg Com

Solved The Primed Indices Are Associated With The Three I Chegg Com

Source : google.com